





3HAC17484-8108 ABB 旋转交流电机
型号:3HAC17484-8108
品牌:ABB
零件号:3HAC17484-8108
制造商:ABB

产品描述
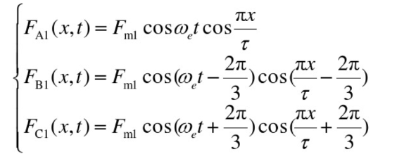
通过合理布置定子槽中的三相电枢绕组,可以有效减小气
隙中的磁动势谐波。认为每相电枢绕组产生的磁动势在空间是
正弦分布的,并且三相磁动势在空间互差120°电角度,那么根
据式(6-4),三相电枢绕组的磁动势可分别写成

式中,Fm是每相磁动势基波分量的幅值,其的计算需要考
虑绕组分布及短距等因素。
Copyright © 2022-2024 深圳长欣自动化设备有限公司 版权所有 备案号:粤ICP备19020277号-4